성장을 멈추지 마세요

체험은 만족하셨나요?

현재 45,783명이 마이메르시로 공부 중이에요

지식 자료를 소장하고 멋진 의료인으로 성장하세요

[1] 모자보건의 이해 | 마이메르시 MyMerci
제안하기

뭔가 하고 싶은 말이 있는거야?

0 / 2000

[1] 모자보건의 이해

[1] 모자보건의 이해


1. 모자보건사업의 개념

1) 모자보건의 정의

① 모든 임산부와 수유부가 건강을 잘 유지하고 육아기술을 획득하게 하며, 안전하게 아기를 출산하고, 건강하게 자녀를 키우도록 책임지고 관리하는 것(WHO 모자보건위원회)

② 모성과 영유아에게 전문적인 보건의료서비스 및 그와 관련된 정보를 제공하고, 모성의 생식건강 관리와 임신·출산·양육 지원을 통하여 이들이 신체적·정신적·사회적으로 건강을 유지하게 하는 사업(우리나라 모자보건법)


2) 용어 정의

임산부

임신 중이거나 분만 후 6개월 미만인 여성

모성

임산부와 가임기 여성

영유아

출생 후 6년 미만인 사람

신생아

출생 후 28일 이내의 영유아

미숙아

임신 37주 미만의 출생아 또는 출생 시 체중이 2,500 미만인 영유아로서 보건소장 또는 의료기관의 장이 임신 37주 이상의 출생아 등과는 다른 특별한 의료적 관리와 보호가 필요하다고 인정하는 영유아


3) 모자보건사업의 목표

① 임신과 분만에 수반하는 모든 합병증의 발생위험 감소

② 다음 임신에 대한 준비

③ 신생아 사망률 감소

④ 불임증의 예방 및 치료

⑤ 모성건강 유지를 통한 지역사회 건강수준 향상

 

4) 모자보건사업의 중요성

① 전체 인구의 절반 이상을 차지하는 광범위한 대상인구

② 임산부와 영유아기는 질병에 이환되기 쉬운 건강상 취약계층

③ 가족에게 미치는 영향이 큼

④ 모성과 아동의 건강수준은 다음 세대의 인구의 자질에 영향을 줌

⑤ 비용 효과 측면에서 효율적임


2. 모자보건사업의 지표

1) 출생 관련 지표

(1) 조출생률(crude birth rate)

 한 사회 또는 집단의 전반적인 출생 수준을 나타내는 가장 간단한 지표

 당해 연도 총출생아수를 그 해 연앙인구(mid-year population)의 비로 나타낸 값으로 대개 1,000을 곱한 천분율로 계산하여 인구 천 명당 출생아수로 표현

 비교적 쉽고 단순한 정보로 쉽게 작성이 가능하다는 장점이 있지만, 인구의 성 및 연령구조를 반영하지 못하다는 단점이 있으며, 전체 인구에 노인 등 특정 연령의 인구가 많거나 여성 인구의 규모가 다르므로 서로 다른 인구 집단을 직접 비교하기 어려움

조출생률(CBR) = 그 연도의 출생아수 / 어떤 연도의 연 평균(또는 중앙)인구 × 1,000

 

(2) 출산율

일반출산율(general fertility rate)

 특정 시점에서 15~49세 가임연령 여성 인구 1,000명당 출생아 수를 나타내는 지표

 전체 인구 대비 출생아수를 나타내는 조출생률과 달리, 가임 연령 여성 인구만을 대상으로 출산율을 계산하기 때문에 개념적, 통계적으로 조출생률의 단점을 일부 보완할 수 있으나, 여전히 여성의 연령에 따른 출산력 차이를 반영하지 못함

일반 출산율(GFR) = 그 연도의 출생아수 / 어떤 연도의 가임기 여성의 연평균(또는 중앙)인구 × 1,000


연령별 출산율(age specific fertility rate)

특정 연령대 여성의 1년간 출산율을 나타내는 지표로, 대개 각 연령(1) 또는 5세 간격 해당 연령대 여성 1,000명당 출생아 수로 표현

출산율을 측정하는 좀 더 정확한 방법의 하나로 합계출산율 산출을 위한 기초자료

연령별출산율을 시각화 할 경우 대개 거꾸로 된 U자 형태로 곡선의 모습을 가지며, 전체적인 출산의 수준과 시기, 연령분포는 물론 그 변화를 파악하는데 용이함 

연령별 출산율(ASFR) = 그 연도의 해당 연령대 여성의 출생아수 / 어떤 연도의 해당 연령대 여성 인구 수 × 1,000

 

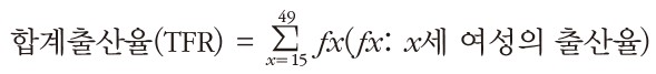
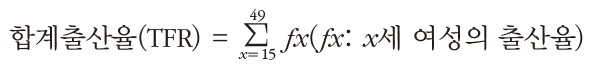
합계출산율(total fertility rate) 15 16 22

한 여자가 평생 낳을 것으로 예상되는 평균 출생아 수를 의미하며, 15~49(또는 15~44)의 연령별 출산율을 합하여 산출

합계출산율은 출산력을 반영하는 가장 민감한 지표로 국가별 출산력 수준을 비교하는 주요 지표로 사용

OECD 기준에 따르면 합계출산율이 인구 유지를 위해 필요한 최소한의 기준인 2.1명 이하일 때는 저출산국가로, 1.3명 이하일 땐 초저출산국가로 분류: 한국은 2002년부터 초저출산국가에 속해있음

95dbe59140c2769d27d222d5e382ffe7_1742870127_6916.jpg95dbe59140c2769d27d222d5e382ffe7_1742870156_4163.jpg

 

모아비(child-women ratio)

15~49세 가임연령 여성 인구 1,000명당 0~4세 아동의 수를 나타내는 지표

출산율을 간접적으로 측정하거나 인구구조를 이해할 때 사용되는 인구학적 지표

주로 출생에 관한 상세 자료가 부재하거나 충분하지 않을 때 사용

모아비(CWR) = 0~4세 아동의 수 / 가임여성(15~49세 여성) 인구 × 1,000 

  

(3) 재생산율 18

총재생산율(gross reproduction rate)

한 여성이 가임연령(15~49) 동안 현재 연령별 출산율을 유지한다고 가정할 때 평균적으로 낳을 것으로 예상되는 여아 출생아의 수

합계출산율에서 여아 출생만 고려한 값

재생산 측면에서 이른바 인구대체(population replacement)’개념을 반영하는 지표로 총재생산율 1.0은 여아의 출산이 여성 인구 규모를 대체하는 수준

총재생산율(GRR) = 합계출산율 × 여아 출생 수 / 총 출생 수

 

순재생산율(net reproduction rate)

한 여성이 가임연령(15~49) 동안 현재의 출산율과 연령별 생존율이 유지된다고 가정했을 때, 출산가능한 연령까지 생존할 것으로 예상되는 여아 자녀의 수로 총생산율에서 여성의 사망력 수준을 반영한 값

순재생산율이 1.0이면 인구의 증감이 없고, 1.0 이상이면 확대재생산으로 인구가 증가하며, 1.0 이하이면 축소재생산으로 인구 감소

순재생산율(NRR) = 총 재생산율 × 가임 연령 시 생존 수 / 여아 출생 수

 

2) 사망관련 지표

(1) 영아사망률(infant mortality rate) 17

특정 연도의 출생아 수 1,000명당 그 해에 생후 1년 이내에 사망한 영아 수로 산출

분모는 1세 미만의 인구이어야 하나, 측정이 불가능하므로 실제로는 1년간 출생아 수로 대체

영아사망률은 국내, 국제, 인종 간 건강수준 평가지표로 많이 사용됨

영아사망률이 보건학적으로 중요한 이유

   – 조사망률은 인구의 연령 구성비에 따라 크게 영향을 받지만, 영아사망률은 12개월 미만의 일정 연령군을 대상으로 하기 때문에 통계적 유의성이 높음

   영아기는 성인에 비해 환경에 예민한 시기이므로 환경위생불량, 질병 관리 및 모자보건수준을 반영하는 지표로 중요

   영아사망률은 국가별·지역별로 변동범위가 조사망률에 비해서 훨씬 크기 때문에 비교 시 편의성이 높음

영아사망률 = 그 해 1세 미만의 영아사망자 수 / 어떤 연도의 출생아 수 × 1,000

 

(2) 신생아사망률(neonatal mortality rate)

특정 연도의 출생아 수 1,000명당 그 해 생후 28일 이내에 사망한 신생아 수

신생아사망률 = 그 해 생후 28일 이내의 신생아 사망자 수 / 어떤 연도의 출생아 수 × 1,000

 

(3) 알파 인덱스index) 19

영아사망률과 신생아 사망률의 비를 말함

신생아기의 사망원인은 산모 체내에서의 이상이나 유전적 이상 등이 대부분이므로, 이 시기의 사망은 어느 정도 수준에 도달하면 더 이상 낮추는 것이 어려워지므로 영아 사망의 대부분이 신생아 사망이라면 그 지역사회의 건강수준은 높다고 할 수 있음

알파 인덱스가 1에 가까울수록 해당 지역사회 혹은 국가의 건강수준은 높다고 할 수 있으며, 1보다 커질수록 보건학적으로 영아사망에 대한 예방관리대책이 필요함을 의미

알파 인덱스 = 영아사망률 / 신생아 사망률


(4) 주산기 사망률(perinatal death rate)

주산기(임신 28주부터 출생 후 7)에 일어난 사망아 수의 비율

산모의 건강 상태뿐만 아니라 태아의 건강상태를 파악할 수 있어 모자보건분야의 건강 지표로 활용

주산기 사망률 = 그 해 임신 28주 이후의 태아 사망수 + 생후 1주 이내의 신생아 사망 수 / 어떤 연도의 총 출산아 수(출생아와 태아사망을 합한 수) × 1,000

 

(5) 모성사망비(maternal mortality ratio)

어떤 연도의 출생아 10만 명에 대한 동일 기간 중 임신, 분만, 산욕과 관련된 원인으로 사망한 모성사망 수의 비

분모는 1년 동안의 총임신 수가 되어야 하나, 임신을 신고한다는 것은 기대하기 어려우 므로 출생 수로 대치

모성사망비 = 동일 연도의 임신, 분만, 산욕으로 인한 모성사망자 수 / 어떤 연도의 출생아 수 × 100,000

 

 

잠시

주목

국가 또는 지역사회의 보건수준을 비교하는 3대 지표는 비례사망지수, 평균수명, 영아사망률이고, 그중에서도 영아사망률이 대표적입니다.

그러나 WHO는 영아사망률이 통계수집의 정확성이 떨어지기 때문에 보건수준 비교에 어려움이 있다고 보고 영아사망률 대신 조사망률을 사용하고 있어 WHO가 추천하는 3대 지표는 비례사망지수, 평균수명, 조사망률입니다.


다음 이론을 계속 학습하려면 로그인하세요.

로그인하고 계속 학습
컨텐츠를 그만볼래?

필기노트, 하이라이터, 메모는 잘 쓰고 있어?

내보내줘
어떤 폴더에 저장할래?

컨텐츠 노트에는 총 0개의 폴더가 있어!

폴더 만들기
컨텐츠 만들기
만들기
신고했어요.

운영진이 검토할게요!

해당 유저를 차단했어요.

마이페이지에서 차단한 회원을 관리할 수 있어요.